Добавить работы Отмеченные0
Работа успешно отмечена.

Отмеченные работы

Просмотренные0

Просмотренные работы

Корзина0
Работа успешно добавлена в корзину.

Корзина

Регистрация

интернет библиотека
Atlants.lv библиотека
Особые предложения 2 Открыть
3,99 € В корзину
Добавить в список желаний
Хочешь дешевле?
Идентификатор:744763
 
Автор:
Оценка:
Опубликованно: 29.11.2025.
Язык: Латышский
Уровень: Университет
Литературный список: Нет
Ссылки: Не использованы
Рассмотреный период: 2021–2025 гг.
Фрагмент работы

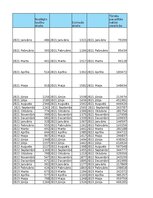
Apkopojums pa mēnešiem ADITĪVAIS Noslēgto laulību skaits Dzimušo skaits Tūristu pavadītās naktis viesnīcās Multiplikatīvā prognoze Aditīvā prognoze Izlīdzināšanas kļūda MULTIPLIKATĪVĀ
Janvāris -607,3333333 -208,1666667 -67533,08333 Noslēgto laulību skaits Dzimušo skaits Tūristu pavadītās naktis viesnīcās Noslēgto laulību skaits Dzimušo skaits Tūristu pavadītās naktis viesnīcās Noslēgto laulību skaits Dzimušo skaits Tūristu pavadītās naktis viesnīcās
Februāris -519,8333333 -275,9166667 -56031,83333 396,1191556 853,624415 317,6235328 382,75 810,6666667 -152456,75 9,880844382 467,375585 78971,37647

Коментарий автора
Коментарий редакции
Загрузить больше похожих работ

Atlants

Выбери способ авторизации

Э-почта + пароль

Э-почта + пароль

Неправильный адрес э-почты или пароль!
Войти

Забыл пароль?

Draugiem.pase
Facebook

Не зарегистрировался?

Зарегистрируйся и получи бесплатно!

Для того, чтобы получить бесплатные материалы с сайта Atlants.lv, необходимо зарегистрироваться. Это просто и займет всего несколько секунд.

Если ты уже зарегистрировался, то просто и сможешь скачивать бесплатные материалы.

Отменить Регистрация